日前,第七届国际学习表征会议(The 7th International Conference on Learning Representations, ICLR2019)公布了论文接收名单。威廉希尔体育2016级图灵班本科生曹芃、许逸伦作为共同第一作者完成的学术论文《Max-MIG:基于信息论的众包联合学习》(Max-MIG: an information theoretic approach for joint learning from crowds)榜上有名;指导教师为威廉希尔体育前沿计算研究中心助理教授孔雨晴和信息公司教授/前沿计算研究中心副主任王亦洲。
作为用来获取大量标注数据的可行方法,众包是指从一个广泛的群体,尤其是在线平台(比如亚马逊的众包平台Amazon Mechanical Turk)获取对数据样本的标注。然而,由于标注者所给出的标注可能存在各种各样的错误,且标注者所做出的标注错误并不一定是两两独立的,从而需要推断真实的标注。
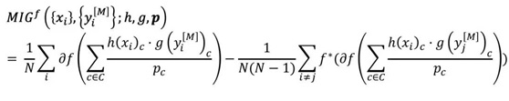
为此,该论文基于共同学习的框架和最大化互信息,提出一种基于信息论思想、适用于各个信息结构的算法,并称之为Max-MIG。在这种算法中,同时训练数据分类器(卷积神经网络)和标注聚合器(加权平均),希望最大化的目标函数为二者输出的MIG,即互信息的一个下界。作者证明了当数据分类器与标注聚合器同时取到真实贝叶斯后验概率,MIG取得最大值。MIG的计算方式(见下图)可以理解为:如果两边的网络对于相匹配的两个输入,两边网络输出一致,则给予奖励;如果对于不匹配的两个输入,两边网络输出一致,则给予惩罚。这样,即可防止两边的网络一直输出相同的无意义的标签,比如一直输出“良性”。 上述算法在生成的数据集与真实的数据集上均取得最佳结果。

ICLR是深度学习领域的顶级会议,也是国际发展最快的人工智能专业会议之一;采取公开评审的审稿制度,因其在深度学习领域各方面,如人工智能、统计学和数据科学,以及计算机视觉、计算生物学等重要应用领域发表和展示前沿研究成果而享誉全球。ICLR2019将于2019年5月6—9日在美国路易斯安那州新奥尔良市举行。
原文链接:https://openreview.net/pdf?id=BJg9DoR9t7